欢迎进入恒丰万达化学商城!
登录
注册
询价篮
购物车
卖家中心
会员中心
帮助中心
意见反馈
发布询盘
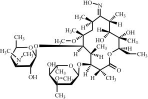
克拉霉素杂质03

克拉霉素杂质03

Clarithromycin EP Impurity C
商品别名:
克拉霉素杂质03;克拉霉素EP杂质C;
商品货号:
KLS270-03;CN-036002;C045013;
英文别名:
Clarithromycin EP Impurity C;
化学名:
6-O-methylerythromycin A (E)-9-oxime;Clarithromycin EP Impurity C;(3R,4S,5S,6R,7R,9R,11S,12R,13S,14R,E)-6-(((2S,3R,4S,6R)-4-(dimethylamino)-3-hydroxy-6-methyltetrahydro-2H-pyran-2-yl)oxy)-14-ethyl-12,13-dihydroxy-4-(((2R,4R,5S,6S)-5-hydroxy-4-methoxy-4,6-dimethyltetrahydro-2H-pyran-2-yl)oxy)-10-(hydroxyimino)-7-methoxy-3,5,7,9,11,13-hexamethyloxacyclotetradecan-2-one;
CAS号:
127253-06-9
分子式:
C38H70N2O13
分子量:
762.98
产品编号:
10018772
产品库存:
0.40g
现 货
供应信息
品牌 货号 规格 纯度级别 会员价/市场价 货期 库存 操作
H&D CN-036002 50.00mg/瓶 对照品级别 请咨询 现货 3.00 瓶 请登录
H&D KLS270-03 50.00mg/瓶 对照品级别 请咨询 现货 5.00 瓶 请登录
其它规格咨询
登录后询价
微信二维码