欢迎进入恒丰万达化学商城!
登录
注册
询价篮
购物车
卖家中心
会员中心
帮助中心
意见反馈
发布询盘
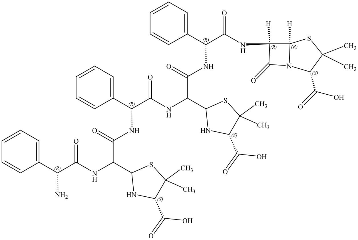
氨苄西林EP杂质Q

氨苄西林EP杂质Q

Ampicillin EP Impurity Q
商品别名:
氨苄西林EP杂质Q;
商品货号:
AN-037019;
英文别名:
Ampicillin EP Impurity Q;
化学名:
(4S,4'S)-2,2'-((1R,7R,13R)-1-amino-14-(((2S,5R,6R)-2-carboxy-3,3-dimethyl-7-oxo-4-thia-1-azabicyclo[3.2.0]heptan-6-yl)amino)-2,5,8,11,14-pentaoxo-1,7,13-triphenyl-3,6,9,12-tetraazatetradecane-4,10-diyl)bis(5,5-dimethylthiazolidine-4-carboxylic acid);
CAS号:
N/A
分子式:
C48H57N9O12S3
分子量:
1048.22
产品编号:
10022507
产品库存:
0.15g
现 货
供应信息
品牌 货号 规格 纯度级别 会员价/市场价 货期 库存 操作
H&D AN-037019 50.00mg/瓶 对照品级别 请咨询 现货 3.00 瓶 请登录
其它规格咨询
登录后询价
微信二维码