欢迎进入恒丰万达化学商城!
登录
丨
注册
询价篮
丨
购物车
丨
卖家中心
丨
会员中心
丨
帮助中心
丨
意见反馈
产品
品牌
采购项目
技术服务
搜索
发布询盘
产品分类
标准品对照品
标准品对照品
药物杂质对照品
品牌标准品对照品
食品标准品
环境标准品
天然提取物标准品
兽药标准品
工业标准品
对照药材
技术服务
技术服务
定制合成服务
分离纯化制备服务
一致性评价服务
工艺转让
医药化工生物品
医药化工生物品
原料药API
医药中间体
药用辅料
有机原料
医药原料
特色中间体
化学试剂
化学试剂
分子砌块
分析试剂
材料科学
通用试剂
合成试剂
企业服务
企业服务
参比制剂一次性进口服务
网站首页
产品查询
COA查询
恒丰万达采购平台
新闻资讯
帮助中心
首页
恒丰万达采购平台
单硝酸甘油酯杂质询价
深圳市恒丰万达医药科技有限公司
发布于2024-06-13 08:55
754
项目
详情
采购项目编号
XM000103
采购商家
深圳市恒丰万达医药科技有限公司
项目标题
单硝酸甘油酯杂质询价
项目简介
项目截止日期
2024-06-28 00:00
货期要求
天
发票类型2
增值税发票(普通)
联系人
联系电话
联系邮箱
联系地址
项目附件
点击下载
项目采购产品信息
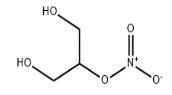
结构式
产品编号
*产品名
CAS号
规格
数量
参数
XM000103-1
2-单硝酸甘油酯
620-12-2
50mg
1
登录后报价
热门采购
生物素杂质询价
达普司他杂质询价
维生素B12 杂质询价
神经酰胺磷酸杂质询价
呋喃妥因杂质询价
罗沙替丁杂质询价
左甲状腺素杂质询价
磷酸左奥硝唑酯杂质
苯磺酸钠杂质询价
伊达比星杂质询价
最新采购
碘克沙醇杂质询价
达鲁那韦杂质询价
长春新碱杂质询价
氟轻松杂质询价
奥格列汀杂质询价
奥拉替尼杂质询价
胞苷类杂质询价
伊达比星杂质询价
克拉维酸杂质询价
富马酸氯马斯汀杂质询价
销售咨询:18627948422
杂质咨询:18627948422
公司总机:027-87707398
终端客户咨询
销售咨询